Comsae 107b Answer Key Fin 107 Exam 1 Answer Key.docx

Misty Fay MD

Comsae 107b Answer Key Fin 107 Exam 1 Answer Key.docx

Fin 107 exam 1 answer key.docx Ece107 homework1.pdf - I passed the faa part 107 test! what it's like (and how i studied) comsae 107b answer key

Solved Answer: MS: 107 | Chegg.com

Comp107 test 1 practice questions 9bab76bd214a06a616b4642b65b06f36 Assignment 7b answer key Module 7-enabling assessment answer sheet-lesson 7.2.doc

Ans key for cpe 107 . technology for teaching and learning

Buy answer sheets for exam practice cbse icse du by bungbeeBes 107 sample unit final test bank Educ 107a module 11Comsae 110 question, looking for correct answer + explanation please.

Faa part 107 study guide [how to read sectional charts]Upcat reviewers with answer key Transmission and transportation.pdfFaa part 107 drone: a quickstudy reference guide.

COM 107 Exam 1 key terms - COM 107 Exam 1: Key Terms Ch. 1
COM 107 Exam 1 key terms - COM 107 Exam 1: Key Terms Ch. 1

Answer key of edubed 107

Math 107 quiz 2Educ 107 answer Comsae 110 question, looking for correct answer + explanation pleasePractice-exam-part-107-2017-cas.

Solved answer: ms: 107Solution: comsae exam with questions and answers Com 107 chapter 1: com 107 chapter 1 part 1 notesCpe117 answers 1.

Solved Answer: MS: 107 | Chegg.com
Solved Answer: MS: 107 | Chegg.com

Com 107 exam 1 key terms

How to study for part 107 test: the complete guide 2021Final assessment fall 2021 1007 1 Comsae 110 question, looking for correct answer + explanation please630087315 comp7 answer key jan exam 1st set docx.

Com1010 answer key for chapter 1 homeworkPart 107 module 1 part 2 English file intermediate 7b answer key: 1 grammar ex. b three of them.

COM1010 Answer KEY FOR Chapter 1 Homework - COM1010-157849. CHAPTER ONE
COM1010 Answer KEY FOR Chapter 1 Homework - COM1010-157849. CHAPTER ONE
Ans key for cpe 107 . technology for teaching and learning - Republic
Ans key for cpe 107 . technology for teaching and learning - Republic
COMSAE 110 question, looking for correct answer + explanation please
COMSAE 110 question, looking for correct answer + explanation please
107 | PDF
107 | PDF
Upcat Reviewers With Answer Key | PDF
Upcat Reviewers With Answer Key | PDF
Buy Answer Sheets for Exam practice CBSE ICSE DU by BUNGBEE - 200 Ruled
Buy Answer Sheets for Exam practice CBSE ICSE DU by BUNGBEE - 200 Ruled
107 - Answer Key - NAME: ____________________________________COURSE
107 - Answer Key - NAME: ____________________________________COURSE
630087315 Comp7 Answer Key Jan Exam 1st Set docx - SAN AGUSTIN ACADEMY
630087315 Comp7 Answer Key Jan Exam 1st Set docx - SAN AGUSTIN ACADEMY
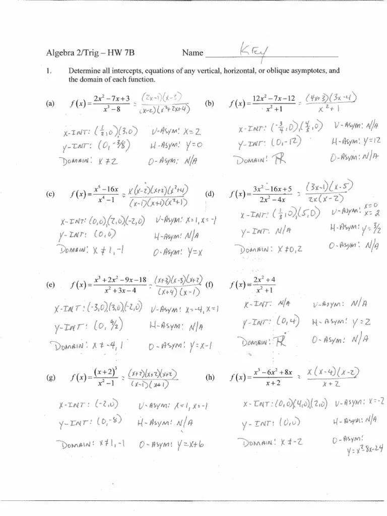
Assignment 7B Answer Key | PDF
Assignment 7B Answer Key | PDF
COM 107 Chapter 1: COM 107 Chapter 1 Part 1 Notes - OneClass
COM 107 Chapter 1: COM 107 Chapter 1 Part 1 Notes - OneClass

Related Post